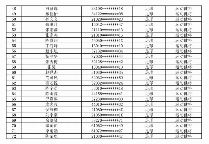
扫描下载懂球帝首页>动态> 北体大公示优秀球员保送名单,陶强龙、池忠国、蹇韬等人在列
川久林予 2026-03-23 16:12
川久林予
严禁商业机构或公司转载,违者必究;球迷转载请注明来源“懂球帝”
相关标签
相关推荐
梅州客家内部人士谈二连败:队伍确实在磨合上没有达到要求
03-23 17:44博主:戴琳经常以与山东队某些球员做生意为由问别人借钱
03-23 16:32国足抵达悉尼第一练,张玉宁、朱辰杰、韦世豪未加入有球训练
03-23 16:15张玉宁:希望从U23上来的球员为我们带来更多的活力
03-23 15:35原成都外援提莫-莱切特为荷丙球队出场,他此前曾宣布退役
03-23 15:21记者:何小珂参加苏超的消息不属实,近期他将回归青岛西海岸
03-23 14:35朱骏明年或复出!中乙德比前自嗨定上海滩规矩,结果惨败海港
03-23 17:16东体谈王钰栋:技术和心理成熟都重要,有情绪也要有职业精神
03-23 14:00记者:澳大利亚2006世界杯阵容将在国足热身赛后举行20周年重聚
03-23 13:4432岁门将杜佳完成俱乐部生涯百场里程碑,近6年仅出场3次
03-23 13:09
dietmarpigs

2026-03-23 16:32:31
88
坚决反对中超B队踢北体大超级联赛
文科状元-
2026-03-23 16:42:10
59
啥意思,让我喝水哥43了去北体大念书去?
SX-UNION

2026-03-23 16:45:06
19
水哥四十岁勇闯大学